相关内容
-
磁性材料与镍的磁性特性
磁性材料是指由过渡元素铁、钴、镍及其合金等能够直接或间接产生磁性的物质。这些物质在外磁场中能够被磁化,并表现出特定的磁性特征。根据物质在外磁场中的表现,可将物质分为:抗磁性、顺磁性、以及铁磁性物质。
-
永磁科普|永磁电机 VS 普通电机,这两个有何区别?
电机是现代工业的心脏,广泛应用于各个领域。永磁电机和普通电机作为两种主要类型,到底有何区别?今天小编带你一起来了解下:
-
走进前沿新材料10:非晶软磁材料
软磁材料是电力、电子、通讯、智能制造、新能源汽车、和国防工业等多个高新产业和高技术领域发展的核心材料。在材料科学领域,金属的原子排列方式决定其性能边界。传统晶态材料的原子呈现周期性有序排列,而20世纪60年代发现的非晶合金展现出完全无序的原子结构,其低矫顽力、高磁导率的特性引发关注。
-
软磁材料在电机中的应用及种类
一、软磁材料在电机中的应用场景1、定子与转子铁芯作用:形成闭合磁路,引导磁场分布,支撑绕组线圈。要求:高磁导率(降低磁阻)、低铁损(减少发热)、高饱和磁感应强度(提升电机功率密度)。应用实例:异步电机、同步电机、伺服电机的定转子核心部件。
全网最全电感知识总结
电感器是开关转换器中非常重要的元器件,如用于储能及功率滤波器。电感器的种类繁多,例如用于不同的应用(从低频到高频),或因铁芯材料不同而影响电感器的特性等等。用于开关转换器的电感器属于高频的磁性组件,然而因材料、工作条件(如电压与电流)、环境温度等种种因素,所呈现的特性和理论上差异很大。因此在电路设计时,除了电感值这个基本参数外,仍须考虑电感器的阻抗与交流电阻和频率的关系、铁芯损失及饱和电流特性等等。本文将介绍几种重要的电感铁芯材料及其特性,也引导电源工程师选择市售标准的电感器。
电感器(inductor)是一种电磁感应组件,用绝缘的导线在绕线支架(bobbin)或铁芯(core)上绕制一定匝数的线圈(coil)而成,此线圈称为电感线圈或电感器。根据电磁感应原理,当线圈与磁场有相对运动,或是线圈通过交流电流产生交变磁场时,会产生感应电压来抵抗原磁场变化,而此抑制电流变化的特性就称为电感(inductance)。
电感值的公式如式(1),其与磁导率、绕组匝数N的平方、及等效磁路截面积Ae成正比,而与等效磁路长度le成反比。电感的种类很多,各适用于不同的应用之中;电感量与线圈绕组的形状、大小、绕线方式、匝数、及中间导磁材料的种类等有关。
(1)
电感依铁芯形状不同有环型(toroidal)、E型(E core)及工字鼓型(drum);依铁芯材质而言,主要有陶瓷芯(ceramic core)及两大软磁类,分别是铁氧体(ferrite)及粉末铁芯(metallic powder)等。依结构或封装方式不同有绕线式(wire wound)、多层式(multi-layer)及冲压式(molded),而绕线式又有非遮蔽式(non-shielded)、加磁胶之半遮蔽式(semi-shielded)及遮蔽式(shielded)等。
电感器在直流电流如同短路,对交流电流则呈现高阻抗,在电路中的基本用途有扼流、滤波、调谐、储能等。在开关转换器的应用中,电感器是最重要的储能组件,且与输出电容形成低通滤波器,将输出电压涟波变小,因此也在滤波功能上扮演重要角色。
本文将介绍电感器的各种铁芯材料及其特性,也将介绍一些电感器之电气特性等,以作为电路设计时,挑选电感器的重要评价参考。在应用实例中,将透过实际范例介绍如何计算电感值,及如何挑选市售标准的电感器。
磁性元件的设计是开关电源设计中的重点和难点,究其原因是磁性元件属非标准件,其设计时需考虑的设计参数众多,工艺问题也较为突出,分布参数复杂。为帮助硬件工程师尽快了解磁性元件,优化设计并减少设计中的错误,特制定此规范。
1 电磁学基本概念及公式
1.1 基本概念
1)磁通:穿过磁路的磁力线的总数,以Ф表示,单位韦伯(Wb)。
2)磁通密度(磁感应强度):垂直于磁力线的方向上单位面积的磁通量,以B表示,单位高斯(Gauss)或特斯拉(T),1 T=104Gauss。
3)磁场强度:单位磁极在磁场中的磁力,以H表示,单位安[培]每米(A/m)或奥斯特(Oe),1 Oe=103/4π A/m。
4)磁导率:磁通密度与磁场强度之比,以μ表示,实际使用中通常指相对于真空的磁导率,真空中的磁导率μ0 =4π×10-7 H/m。
5)磁体:磁导率远大于μ0的物质,如铁,镍,钴及其合金或氧化物等。
6)居里温度点:磁体在温度升高时,其磁导率下降,当温度高到某一点时,磁性基本消失,此温度称为居里温度点。
7)磁势:建立磁通所需之外力,以F表示。
8)自感:磁通变化率与电流变化率之比称为自感,以L表示。
9)互感:由于A线圈电流变化而引起B线圈磁通变化的现象,B线圈的磁通变化率与A线圈的电流变化率之比称为A线圈对B线圈的互感,以M表示。
1.2 基本公式


法拉第电磁感应定律:
穿过闭合回路的磁通发生变化,回路中会产生感应电流。如果回路不闭合,无感应电流,但感应电动势依然存在,感应电动势的大小:
磁场中的磁体存储的能量为:

电学与磁学的对偶关系表:

2 磁元件的基本特性
2.1 磁滞效应(Hysteresis Effect):
磁化过程中,磁通密度B的变化较磁化力F的变化迟缓的现象称为磁滞。

2.2 霍尔效应(Hall Effect):
流过电流的导体穿过磁场时,在导体两端产生感应电势的现象,称为霍尔效应。

2.3 临近效应(Proximity Effect)
流过电流的导线会产生磁场,相邻的导线在相互的磁场(也可以是外加磁场)作用下会产生电流挤到导体一边的现象成为临近效应。相邻层的导线若电流方向相同,电流会往外侧挤,相邻层的导线若电流方向相反,电流会往外内侧挤,如下图所示。临近效应会导致导体的利用率下降,铜损增加(与趋肤效应类似)。

2.4 磁材料的饱和
随着磁性材料中的磁场强度增加,其磁通密度也增大,但当磁场强度大到一定程度时,其磁通不再增加(见图3.1磁滞回线的Bs),这称为磁饱和。
2.5 磁芯损耗
磁芯损耗主要由磁滞损耗和涡流损耗组成。
单位体积内的磁滞损耗正比与磁场交变的频率f 和磁滞回线的面积。
涡流损耗是指当通过磁芯的磁通交变时,会在磁芯中感应电势,该电势进而在磁芯中产生电流,从而产生损耗,它与磁芯材料的电阻率有关,与频率f 也有关。
电感的定义和原理
电感器(Inductor)是能够把电能转化为磁能而存储起来的元件。电感器的结构类似于变压器,但只有一个绕组。电感器具有一定的电感,它只阻碍电流的变化。如果电感器在没有电流通过的状态下,电路接通时它将试图阻碍电流流过它;如果电感器在有电流通过的状态下,电路断开时它将试图维持电流不变。电感器又称扼流器、电抗器、动态电抗器。
简单的说:通直流,阻碍交流。

1、电感的作用
通直流阻交流这是简单的说法,对交流信号进行隔离,滤波或与电容器,电阻器等组成谐振电路。
调谐与选频电感的作用:电感线圈与电容器并联可组成LC调谐电路。即电路的固有振荡频率f0与非交流信号的频率f相等,则回路的感抗与容抗也相等,于是电磁能量就在电感、电容之间来回振荡,这就是LC回路的谐振现象。谐振时由于电路的感抗与容抗等值又反向,因此回路总电流的感抗最小,电流量最大(指f=f0的交流信号),所以LC谐振电路具有选择频率的作用,能将某一频率f的交流信号选择出来。
磁环电感的作用:磁环与连接电缆构成一个电感器(电缆中的导线在磁环上绕几圈作为电感线圈),它是电子电路中常用的抗干扰元件,对于高频噪声有很好的屏蔽作用,故被称为吸收磁环,由于通常使用铁氧体材料制成,所以又称铁氧体磁环(简称磁环)。在图中,上面为一体式磁环,下面为带安装夹的磁环。磁环在不同的频率下有不同的阻抗特牲。一般在低频时阻抗很小,当信号频率升高后磁环的阻抗急剧变大。可见电感的作用如此之大,大家都知道,信号频率越高,越容易辐射出去,而一般的信号线都是没有屏蔽层的,这些信号线就成了很好的天线,接收周围环境中各种杂乱的高频信号,而这些信号叠加在原来传输的信号上,甚至会改变原来传输的有用信号,严重干扰电子设备的正常工作,因此降低电子设备的电磁干扰(EM)已经是必须考虑的问题。在磁环作用下,即使正常有用的信号顺利地通过,又能很好地抑制高频于扰信号,而且成本低廉。
电感的作用还有筛选信号、过滤噪声、稳定电流及抑制电磁波干扰等重要的作用。
我们通常所说的电感指的是电感器件,它是用绝缘导线(例如漆包线,沙包线等)绕制而成的电磁感应元件。
在电路中,当电流流过导体时,会产生电磁场,电磁场的大小除以电流的大小就是电感。
电感是衡量线圈产生电磁感应能力的物理量。给一个线圈通入电流,线圈周围就会产生磁场,线圈就有磁通量通过。通入线圈的电源越大,磁场就越强,通过线圈的磁通量就越大。实验证明,通过线圈的磁通量和通入的电流是成正比的,它们的比值叫做自感系数,也叫做电感。

2、电感的分类:
按电感形式 分类:固定电感、可变电感。
按导磁体性质分类:空芯线圈、铁氧体线圈、铁芯线圈、铜芯线圈。
按工作性质 分类:天线线圈、振荡线圈、扼流线圈、陷波线圈、偏转线圈。
电感按电感的作用可分为振荡电感,校正电感,显像管偏转电感,阻流电感,滤波电感,隔离电感,被偿电感等.
振荡电感又分为电视机行振荡线圈,东西枕形校正线圈等.
显像管偏转电感分为行偏转线圈和场偏转线圈.
阻流电感(也称阻流圈)分为高频阻流圈,低频阻流圈,电子镇流器用阻流圈,电视机行频阻流圈和电视机场频阻流圈等.
滤波电感分为电源(工频)滤波电感和高频滤波电感等.
按绕线结构 分类:单层线圈、多层线圈、蜂房式线圈。
按工作频率 分类:高频电感,中频电感和低频电感.
空心电感,磁心电感和铜心电感一般为中频或高频电感,而铁心电感多数为低频电感.
按结构特点 分类:磁芯线圈、可变电感线圈、色码电感线圈、无磁芯线圈等。
电感按其结构的不同可分为线绕式电感和非线绕式电感(多层片状,印刷电感等),还可分为固定式电感和可调式电感.
固定式电感又分为空心电子表感器,磁心电感,铁心电感等,根据其结构外形和引脚方式还可分为立式同向引脚电感,卧式轴向引脚电感,大中型电感,小巧玲珑型电感和片状电感等.
可调式电感又分为磁心可调电感,铜心可调电感,滑动接点可调电感,串联互感可调电感和多抽头可调电感。
3、电感的符号

电感方向性:无方向
电感在电路中的基本作用:滤波、振荡、延迟、陷波等,形象说法:“通直流,阻交流”
在电子线路中,电感线圈对交流有限流作用,它与电阻器或电容器能组成高通或低通滤波器、移相电路及谐振电路等;变压器可以进行交流耦合、变压、变流和阻抗变换等。
由感抗XL=2πfL 知,电感L越大,频率f越高,感抗就越大。该电感器两端电压的大小与电感L成正比,还与电流变化速度△i/△t成正比,这关系也可用下式表示:,即U=LdI/dt只要电感L足够大,即使整流输出电压低到为0,电感中仍有正向电流,并使负载上保持一定的正向电压。
电感线圈也是一个储能元件,它以磁的形式储存电能,储存的电能大小可用下式表示:WL=1/2 Li2 。可见,线圈电感量越大,流过越大,储存的电能也就越多。
检查电感好坏方法:用电感测量仪测量其电感量;用万用表测量其通断,理想的电感电阻很小,近乎为零。
4、电感的材质及工艺
电感器一般由骨架、绕组、屏蔽罩、封装材料、磁心等组成。
1)骨架:泛指绕制线圈的支架。通常是采用塑料、胶木、陶瓷制成,根据实际需要可以制成不同的形状。小型电感器一般不使用骨架,而是直接将漆包线绕在磁心上。空心电感器不用磁心、骨架和屏蔽罩等,而是先在模具上绕好后再 脱去模具,并将线圈各圈之间拉开一定距离。

2)绕组:指具有规定功能的一组线圈,有单层和多层之分。单层有密绕和间绕两种形式;多层有分层平绕、乱绕、蜂 房式绕法等多种。

3)磁心:一般采用镍锌铁氧体或锰锌铁氧体等材料,它有“工”字形、柱形、帽形、“E”形、罐形等多种形状。

铁心:主要有硅钢片、坡莫合金等,其外形多为“E”型。

4)屏蔽罩:用于为避免有些电感器在工作时产生的磁场影响其它电路及元器件正常工作。采用屏蔽罩的电感器,会增加线圈的损耗,使Q值降低。

5)封装材料:有些电感器(如色码电感器、色环电感器等)绕制好后,用封装材料将线圈和磁心等密封起来。封装材料采用塑料或环氧树脂等。



铁芯材料之种类

用于开关转换器的电感器属于高频磁性组件,中心的铁芯材料最是影响电感器之特性,如阻抗与频率、电感值与频率、或铁芯饱和特性等。以下将介绍几种常见的铁芯材料及其饱和特性之比较,以作为选择功率电感的重要参考:
1. 陶瓷芯
陶瓷芯是常见的电感材料之一,主要是用来提供线圈绕制时所使用的支撑结构,又被称为「空芯电感」(air core inductor)。因所使用的铁芯为非导磁材料,具有非常低的温度系数,在操作温度范围中电感值非常稳定。然而由于以非导磁材料为介质,电感量非常低,并不是很适合电源转换器的应用。
2. 铁氧体
一般高频电感所用的铁氧体铁芯是含有镍锌(NiZn)或锰锌(MnZn)之铁氧体化合物,属于矫顽磁力(coercivity)低的软磁类铁磁材料。图1为一般磁铁芯之磁滞曲线(B-H loop),磁性材料的矫顽磁力HC亦称为保磁力,系指当磁性材料已磁化到磁饱和后,使其磁化强度(magnetization)减为零时所需的磁场强度。矫顽力较低代表抵抗退磁能力较低,也意味着磁滞损失较小。
锰锌及镍锌铁氧体具有较高的相对磁导率(relative permeability;μr),分别为约1500~15000及100~1000,其高导磁特性使得铁芯在一定体积下可有较高的电感量。然而,缺点是其可耐受的饱和电流较低,且铁芯一旦饱和,磁导率会急遽下降,可参考图4所示铁氧体与粉末铁芯在铁芯饱和时磁导率下降趋势的比较。当用于功率电感时,会在主磁路留气隙(air gap),可降低磁导率、避免饱和及储存较多能量;含有气隙时的等效相对磁导率约可在20-200之间。由于材料本身的高电阻率可降低涡电流(eddy current)造成的损耗,因此在高频时损失较低,较适用于高频变压器、EMI滤波电感及电源转换器的储能电感。以操作频率而言镍锌铁氧体适合用在(>1 MHz),而锰锌铁氧体适用于较低的频段(<2 MHz)

图1、磁铁芯之磁滞曲线(BR:剩磁;BSAT:饱和磁通密度)
3. 粉末铁芯
粉末铁芯亦属于软磁类铁磁材料,是由不同材料的铁粉合金或只有铁粉所制成,配方中有颗粒大小不同的非导磁材料,因此饱和曲线较为缓和。粉末铁芯多以环型(toroidal)呈现居多,如图2所示为粉末铁芯及其截面图。

图2、粉末铁芯之截面图
常见的粉末铁芯有铁镍钼合金(MPP)、铁硅铝合金(Sendust)、铁镍合金(high flux)及铁粉芯(iron powder)等。因所含成分不同,其特性及价格也有所不同,因而影响电感器的选择。以下将分别介绍前述之铁芯种类并比较其特性:
A. 铁镍钼合金(MPP)
铁镍钼合金简称MPP,是molypermalloy powder的缩写,相对磁导率约14~500,饱和磁通密度约7500高斯(Gauss),比铁氧体的饱和磁通密度(约4000~5000高斯)高出许多。MPP具有最小的铁损,在粉末铁芯中,温度稳定性最好。当外加直流电流达饱和电流ISAT时,电感值缓慢降低,不会急剧衰减。MPP的性能较佳,但成本较高,通常作为电源转换器之功率电感及EMI滤波之用。
B. 铁硅铝合金 (Sendust)
铁硅铝合金铁芯是由铁、硅、及铝组成之合金铁芯,相对磁导率约26~125。铁损介于铁粉芯与MPP及铁镍合金之间。饱和磁通密度比MPP高,约10500高斯。温度稳定性及饱和电流特性比MPP及铁镍合金稍微逊色,但较铁粉芯及铁氧体铁芯为佳,相对成本较MPP及铁镍合金便宜。多应用于EMI滤波、功因修正(PFC)电路及开关电源转换器之功率电感。
C. 铁镍合金(high flux)
铁镍合金铁芯是由铁及镍组合而成,相对磁导率约14~200,铁损及温度稳定性均介于MPP及铁硅铝合金之间。铁镍合金铁芯的饱和磁通密度最高,约15000高斯,且可耐受直流偏置电流较高,其直流偏置特性也较好。应用范围有功因修正、储能电感、滤波电感、返驰式转换器之高频变压器等。
D. 铁粉芯(iron powder)
铁粉芯是由颗粒非常小、彼此间绝缘的高纯度铁粉颗粒制成,制作过程使其具有分布式的气隙。常见的铁粉芯之形状除了环型外,尚有E型及冲压式。铁粉芯之相对磁导率约10~75,约15000高斯之高饱和磁通密度。在粉末铁芯中,铁粉芯的铁损最高,但成本最低。
铁镍钼 | 铁镍合金 | 铁硅铝合金 | 铁粉芯 | |
铁损 | 最低 | 适中 | 低 | 高 |
直流偏置特性 | 较好 | 最好 | 良好 | 普通 |
饱和磁通密度(Gauss) | 7,500 | 15,000 | 10,500 | 15,000 |
相对磁导率 | 14-550 | 14-200 | 26-125 | 10-75 |
相对成本 | 高 | 中等 | 低 | 最低 |
温度稳定性 | 最好 | 较好 | 良好 | 差 |

表1粉末铁芯特性之比较
表1列出了以上四种粉末铁芯之比较。以实际应用而言,其中铁硅铝合金的特性在各方面均不错,相对成本低,具有高性价比,因此常被用于EMI滤波电感。
图3所示为TDK所制之PC47锰锌铁氧体与MICROMETALS所制之铁粉芯-52及-2的B-H曲线;锰锌铁氧体的相对磁导率远高于铁粉芯,饱和磁通密度也相差很多,铁氧体约5000高斯而铁粉芯大于10000高斯以上。

图3、锰锌铁氧体与不同材质铁粉芯的B-H曲线
综合上述,铁芯饱和特性各有不同;一旦超过饱和电流,铁氧体铁芯的磁导率会陡降,而铁粉芯则可缓慢降低。图4所示即为具有相同磁导率的粉末铁芯与有气隙的铁氧体在不同磁场强度下的磁导下降特性。这也解释了铁氧体铁芯电感,因磁导率在铁芯饱和时骤降,由式(1)可知,也造成电感量骤降;而有分布式气隙的粉末铁芯,磁导率在铁芯饱和时是缓慢下降,因此电感量也降低得比较缓和,即有较好的直流偏置特性。在电源转换器的应用中,此特性很重要;若电感的缓饱和特性不佳时,电感电流上升到达饱和电流,电感量突降会造成开关晶体的电流应力突升,容易造成损坏。

图4、粉末铁芯与有气隙的铁氧体铁芯在不同磁场强度下的磁导下降特性
磁芯的外形分类:



上图磁芯的组合便可形成完整的Core。
常用Core的外形有:EE、EI、ETD、DR、TOROID
铁窗面积Ae :铁芯的有效横截面积
铜窗面积Aw :可利用的绕线横截面积
绕线系数 Kw :实际有效绕线横截面积与可利用的绕线横截面积之比
等效磁路长度:磁芯的等效磁路径长度
电感系数AL :,这个系数表现的是同一个铁芯的感值与圈数的关系,可见对于确定
的铁芯,感值与圈数的平方成正比。
磁芯损耗(铁损)Pcoreloss:
线圈损耗(铜损)Pcoilloss:

电感器之电气特性及封装结构
在设计开关转换器并挑选电感器时,电感值L、阻抗Z、交流电阻ACR与Q值(quality factor)、额定电流IDC与ISAT、以及铁芯损失(core loss)等等重要的电气特性都必须考虑。此外,电感器的封装结构会影响漏磁大小,进而影响EMI。以下将分别探讨上述之特性,以作为选择电感器之考虑。
1. 电感值(L)
电感器之电感值在电路设计时为最重要的基本参数,但必须看在工作频率下此电感值是否稳定。电感的标称值通常是在没有外加直流偏置的条件下,以100 kHz或1 MHz所量得。且为确保大量自动化生产的可能性,电感之容差值(tolerance)通常是 ±20%(M)与±30%(N)居多。图5为利用Wayne Kerr的LCR表量测Taiyo Yuden 电感NR4018T220M之电感-频率特性图,如图所示,在5 MHz之前电感值的曲线较为平坦,电感值几乎可视为常数。在高频段因寄生电容与电感所产生的谐振,电感值会上升,此谐振频率称为自我谐振频率(self-resonant frequency;SRF),通常需远高于工作频率。

图5、Taiyo Yuden NR4018T220M电感-频率特性之量测图
2. 阻抗(Z)
如图6,从阻抗图也可以看出电感在不同频率下的表现。电感的阻抗约与频率成正比(Z=2πfL),因此频率愈高,电抗会比交流电阻大很多,所以阻抗表现就如同纯电感(相位为90˚)。而再往高频,由于寄生电容效应,可以看到阻抗的自我谐振频率点,过了此点阻抗下降呈现电容性,且相位逐渐转为-90 ˚。

图6、Taiyo Yuden电感NR4018T220M之阻抗-频率特性
3. Q值与交流电阻(ACR)
Q值在电感的定义中为电抗与电阻的比值,也就是阻抗中虚数部分与实数部分的比,如式(2)。
(2)
其中XL为电感器之电抗,RL为电感器之交流电阻。
在低频段,交流电阻比电感造成的电抗大,所以其Q值很低;随着频率增加,电抗(约为2πfL)愈来愈大,即使电阻因集肤效应(skin effect)与邻近(proximity effect)效应愈来愈大,Q值仍随频率增加;在接近SRF时,电感抗逐渐为电容抗抵消,Q值又逐渐变小;在SRF时变为零,因电感抗与电容抗完全相消。图7为NR4018T220M之Q值与频率的关系图,其关系呈现倒钟形。

图7、Taiyo Yuden电感NR4018T220M之Q值与频率的关系图
在电感的应用频段里,Q值愈高愈好;表示其电抗远大于交流电阻。一般而言,Q值最好达到40以上,表示此电感的质量佳。然而,一般随直流偏置增加,电感值会下降,Q值也会降低。若采用扁平漆包线或多股漆包线,可以降低集肤效应,即交流电阻,也就可以提升电感的Q值。
直流电阻DCR一般多认为是铜线的直流电阻,此电阻可依线径与长度计算。然而大部分小电流SMD电感在绕线终端会用超音波焊接做SMD的铜片,但因为铜线长度不长,电阻值不高,因此焊接电阻常会占整体直流电阻相当的比例。以TDK之绕线式SMD电感CLF6045NIT-1R5N为例,其量测直流电阻为14.6mΩ,而依线径及长度计算之直流电阻为12.1mΩ。结果显示此焊接电阻约占整体直流电阻的17%。
交流电阻ACR则因有集肤效应与邻近效应,而会造成ACR随频率增加;一般电感的应用,因交流成份远低于直流成份,所以ACR造成的影响并不明显;但是在轻载时,因为直流成份降低,ACR造成的损耗便不能忽略。集肤效应即在交流的条件下,导体内部电流分布不均匀而集中在导线的表面,造成等效导线截面积降低,进而使导线的等效电阻随频率提高。另外,在一个导线绕组中,相邻的导线会因电流造成磁场的相加减,使得电流集中在导线邻近的表面(或最远的表面,视电流方向而定),同样造成等效导线截面积降低,等效电阻提高的现象,即所谓的邻近效应;在一个多层绕组的电感应用里,邻近效应更是明显。
图8为绕线式SMD电感NR4018T220M的交流电阻与频率关系图。在频率为1kHz时,电阻约为360mΩ;到了100kHz,电阻上升到775mΩ;在10MHz时电阻值接近160Ω。在估算铜损时,其计算须考虑集肤与邻近效应造成的ACR,并修正成式(3)。
(3)
IAC,i为某谐波频率的RMS电流,RAC,i为该频率下之交流电阻。

图8、NR4018T220M之交流电阻与频率关系图
4. 饱和电流(ISAT)
在开关电源的设计中电感的设计为工程师带来的许多的挑战。工程师不仅要选择电感值,还要考虑电感可承受的电流,绕线电阻,机械尺寸等等。本文专注于解释:电感上的DC电流效应。这也会为选择合适的电感提供必要的信息。
理解电感的功能
电感常常被理解为开关电源输出端中的LC滤波电路中的L(C是其中的输出电容)。虽然这样理解是正确的,但是为了理解电感的设计就必须更深入的了解电感的行为。
在降压转换中(Fairchild典型的开关控制器),电感的一端是连接到DC输出电压。另一端通过开关频率切换连接到输入电压或GND。

在状态1过程中,电感会通过(高边 “high-side”)MOSFET连接到输入电压。在状态2过程中,电感连接到GND。由于使用了这类的控制器,可以采用两种方式实现电感接地:通过二极管接地或通过(低边“low-side”)MOSFET接地。如果是后一种方式,转换器就称为“同步(synchronus)”方式。
现在再考虑一下在这两个状态下流过电感的电流是如果变化的。在状态1过程中,电感的一端连接到输入电压,另一端连接到输出电压。对于一个降压转换器,输入电压必须比输出电压高,因此会在电感上形成正向压降。相反,在状态2过程中,原来连接到输入电压的电感一端被连接到地。对于一个降压转换器,输出电压必然为正端,因此会在电感上形成负向的压降。
我们利用电感上电压计算公式:
V=L(dI/dt)
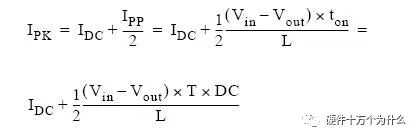
因此,当电感上的电压为正时(状态1),电感上的电流就会增加;当电感上的电压为负时(状态2),电感上的电流就会减小。通过电感的电流如图2所示:

通过上图我们可以看到,流过电感的最大电流为DC电流加开关峰峰电流的一半。上图也称为纹波电流。根据上述的公式,我们可以计算出峰值电流:

其中,ton是状态1的时间,T是开关周期(开关频率的倒数),DC为状态1的占空比。
警告:上面的计算是假设各元器件(MOSFET上的导通压降,电感的导通压降或异步电路中肖特基二极管的正向压降)上的压降对比输入和输出电压是可以忽略的。
如果,器件的下降不可忽略,就要用下列公式作精确计算:
同步转换电路:

异步转换电路:

其中,Rs为感应电阻阻抗加电感绕线电阻的阻。Vf 是肖特基二极管的正向压降。R是Rs加MOSFET导通电阻,R=Rs+Rm。
电感磁芯的饱和度
通过已经计算的电感峰值电流,我们可以发现电感上产生了什么。很容易会知道,随着通过电感的电流增加,它的电感量会减小。这是由于磁芯材料的物理特性决定的。电感量会减少多少就很重要了:如果电感量减小很多,转换器就不会正常工作了。当通过电感的电流大到电感实效的程度,此时的电流称为“饱和电流”。这也是电感的基本参数。
实际上,转换电路中的开关功率电感总会有一个“软”饱和度。要了解这个概念可以观察实际测量的电感Vs DC电流的曲线:

当电流增加到一定程度后,电感量就不会急剧下降了,这就称为“软”饱和特性。如果电流再增加,电感就会损坏了。
注意:电感量下降在很多类的电感中都会存在。例如:toroids,gapped E-cores等。但是,rod core电感就不会有这种变化。
有了这个软饱和的特性,我们就可以知道在所有的转换器中为什么都会规定在DC输出电流下的最小电感量;而且由于纹波电流的变化也不会严重影响电感量。在所有的应用中都希望纹波电流尽量的小,因为它会影响输出电压的纹波。这也就是为什么大家总是很关心DC输出电流下的电感量,而会在Spec中忽略纹波电流下的电感量
饱和电流ISAT一般是标注在电感值衰减在10%、30%或40%之情况下的偏置电流。以气隙铁氧体而言,因其饱和电流特性非常急遽,10%与40%相差不大,可参考图4。但如果是铁粉芯(如冲压式电感),饱和曲线比较缓和,如图9,电感衰减10%或40%的偏置电流相差很多,因此就饱和电流值,二种铁芯将分开探讨如下。
对于一个气隙铁氧体,以ISAT作为电路应用最大的电感电流上限点是合理的。但如果是铁粉芯,因为缓饱和特性,即便应用电路最大电流超过ISAT也不会发生问题,因此这种铁芯特性最适合开关转换器的应用。在重载时,虽然电感器之电感值较低,如图9,造成电流涟波因子较高,但现今的电容电流耐受度高,因此并不会成为问题。在轻载时,电感器之电感值较大,有助于降低电感的涟波电流,进而降低铁损。图9比较了TDK之绕线式铁氧体SLF7055T1R5N及冲压式铁粉芯电感SPM6530T1R5M,在相同电感标称值下的饱和电流曲线。

图9、绕线式铁氧体与冲压式铁粉芯在相同电感标称值下的饱和电流曲线
5. 额定电流(IDC)
IDC值为当电感温升为Tr˚C时的直流偏置。规格书同时标注其在20˚C的直流电阻值RDC。依铜导线的温度系数约为3,930 ppm,在Tr温升时,其电阻值为RDC_Tr = RDC(1+0.00393Tr),其功耗为PCU = I2DCxRDC。此铜损功耗在电感器表面散逸,可计算出电感的热阻ΘTH:
(4)
表2为参考TDK VLS6045EX系列(6.0x6.0x4.5mm)的data sheet,并计算出在温升40˚C时之热阻。显然相同系列及尺寸的电感,因表面散热面积一样,其计算所得之热阻也相差无几;换句话说,可以估算不同电感的额定电流IDC。不同系列(封装)的电感,其热阻也不同。表3即比较了TDK VLS6045EX系列(semi-shielded)及SPM6530系列(molded)之电感的热阻。热阻愈大,表示此电感流过负载电流时所产生的温升较高;反之则较低。

表2、VLS6045EX系列电感在温升40˚C时之热阻
从表3可知,即使电感的尺寸相近,由于冲压式电感的热阻低,即散热较好。

表3、不同封装电感的热阻比较
在DC-DC转换器中,电感器是仅次于IC的核心元件。通过选择恰当的电感器,能够获得较高的转换效率。在选择电感器时所使用的主要参数有电感值、额定电流、交流电阻、直流电阻等,在这些参数中还包括功率电感器特有的概念。例如,功率电感器的额定电流有两种,它们之间的差异是什么呢?
为了回答这样的疑问,我们在这里对功率电感器的额定电流进行说明。
存在两种额定电流的原因
功率电感器的额定电流有"基于自我温度上升的额定电流"和"基于电感值的变化率的额定电流"两种决定方法,分别具有重要的意义。"基于自我温度上升的额定电流"是以元件的发热量为指标的额定电流规定,超出该范围使用时可能会导致元件破损及组件故障。
与此同时,"基于电感值的变化率的额定电流"是以电感值的下降程度为指标的额定电流规定,超出该范围使用时可能会由于纹波电流的增加而导致IC控制不稳定。此外,根据电感器的磁路构造的不同,磁饱和的倾向(即电感值的下降倾向)有所不同。图1是表示不同磁路构造所导致的电感值的变化的示意图。对于开磁路类型,随着直流电流的增加,到规定电流值为止呈现比较平坦的电感值,但以规定电流值为境界电感值急剧下降。相反,闭磁路类型随着直流电流的增加,透磁率的数值逐渐减少,因此电感值缓慢下降。

功率电感规格书中对额定电流参数仅注明介质的饱和电流Isat值。
小常识:Isat与rms的区别
Isat与Irms是我们工程人员常常会碰到的技术术语,但因有些客户的问题,时常将两者混淆,造成工程技术上的错误。Isat与Irms两者分别表示什么,中文又是指什么? Isat与Irms两者如何定义,它们与那些因素有关?我们在电感设计时,如何定义?
Isat:指磁介质的饱和电流,在下图B-H曲线中,是指磁介质达到Bm对应的Hm所需的DC电流量的大小,对于电感,即电感下降到一定比例后的电流大小,如SRI1207-4R7M产品,电感下跌20%的电流为8.4A,则Isat=8.4A。Isat计算公式如下:
设截面积为S、长为l,磁导率为μ的铁环上,绕以紧密的线圈N匝,线圈中通过的电流为I。則依磁路定律:
Hl/0.4π=NI=0.7958Hl
对于同一材质及呎吋的铁芯Hl依B-H曲线进行变化,但在同一斜率下,Hl是不变的,因此:
N1*I1=Hl/0.4π=N2*I2
即:
N1/N2=I2/I1
Irms:指电感产品的应用额定电流,也称为温升电流,即产品应用时,表面达到一定温度时所对应的DC电流。
以下是以2520系列中的4.7uH叠层功率电感为例对比说明业界目前对电感器额定电流Irat、饱和电流Isat以及温升电流Irms标识状况。
叠层功率电感(铁氧体大电流电感)参数比对表
现状会误导工程师选型,产生隐患;
目前有相当部分叠层功率电感生产厂家对其产品额定电流规格都是沿用传统信号滤波处理用叠层电感额定电流标准来定义,其根据电感的温升电流值来定义其额定工作电流。这种情况下产品设计工程师往往会按照传统功率电感选型经验并根据供应商电感规格书上定义的额定电流值来衡量其实际电路中的额定工作电流,这样一来很可能会导致因电感饱和电流低于电路的实际工作电流,会存在如下隐患:
A). 电感实际工作时因电流过大导致饱和,引起电感量下降幅度过大造成电流纹波超出后级电路最大允许规格范围造成电路干扰,从而无法正常工作甚至损坏;
B).电路中实际工作电流超过电感的饱和电流有可能会因电感饱和电感量下降产生机械或电子噪音;
C).电路中实际工作电流超过电感的饱和电流会导致因电感饱和,其电感量下降引起电源带负载时输出电压&电流不稳定,造成其它单元电路系统死机等不稳定异常情形;
D).电感额定电流(包括饱和和温升电流)选择余量不足会导致其工作时表面温度过高、整机效率降低、加速电感本身或整机老化使其寿命缩短。
6. 铁芯损失(core loss)
铁芯损失,简称铁损,主要由涡流损与磁滞损造成。涡流损大小主要是看铁芯材料是否容易「导电」;若导电率高,即电阻率低,涡流损就高,如铁氧体的电阻率高,其涡流损就相对的低。涡流损也与频率有关,频率愈高,涡流损愈大,因此铁芯材料会决定铁芯适当的工作频率。一般而言,铁粉芯的工作频率可到1MHz,而铁氧体的工作频率则可到10MHz。若工作频率超过此频率,则涡流损会快速增加,铁芯温度也会提高。然而,随着铁芯材料日新月异,更高工作频率的铁芯应是指日可待。
另一个铁损是磁滞损,其与磁滞曲线所围之面积成正比,即与电流交流成份的摆动(swing)幅度有关;交流摆幅愈大,磁滞损也愈大。
在电感器之等效电路中,常用一个并联于电感的电阻来表示铁损。当频率等于SRF时,电感抗和电容抗抵消,等效电抗为零,此时电感器之阻抗即等效于此铁损电阻串联绕线电阻,且铁损电阻已远大于绕线电阻,所以在SRF时的阻抗就约等于铁损电阻。以一低压电感为例,其铁损电阻约在20kΩ左右,若以电感两端的有效值电压5V来估算,其铁损约为1.25mW,这也说明了铁损电阻愈大愈好。
7. 封装结构(shield structure)
铁氧体电感的封装结构有非遮蔽式、加磁胶之半遮蔽式、与遮蔽式,而不论哪一种都存在相当的空气隙。显然此空气隙会有漏磁发生,且最坏的情况是会干扰周遭之小信号电路,或者,如果附近有导磁材料,其电感值也因此被改变。另一种封装结构为冲压式铁粉电感,由于电感内部没有间隙,且绕组结构扎实,因此磁场散逸问题较小。图10是利用RTO 1004示波器之FFT功能量测冲压式电感上方及侧边3mm处之漏磁场大小。表4列出不同封装结构电感的漏磁场大小比较,可看出非遮蔽式(non-shielded)电感之漏磁最严重;冲压式(molded)电感的漏磁最小,显示其磁遮蔽效果最好。这两种结构的电感之漏磁场大小相差约14dB,也就是将近5倍。

图10、冲压式电感上方及侧边3mm处之所量测之漏磁场大小

表4、不同封装结构电感之漏磁场大小比较
8. 耦合(coupling)
在一些应用当中,有时PCB上会有多组直流转换器,通常会相邻排列,且其对应之电感器也会相邻排列的情况,如果使用非遮蔽式或加磁胶之半遮蔽式的电感器,可能会相互耦合,形成EMI干扰。因此,在放置电感时,建议先标注电感的极性,将电感最内层之起绕点接到转换器之切换电压,如降压转换器的VSW,即动点,而将电感之外层出线端接到输出电容,即静点;铜线绕阻也因此如同形成一定程度的电场遮蔽。在多路转换器的布线安排中,固定电感的极性,有助于固定互感的大小,避免一些意想不到的EMI问题。
9. 电感失效分析
电感器失效模式:电感量和其他性能的超差、开路、短路
模压绕线片式电感失效机理:
1.磁芯在加工过程中产生的机械应力较大,未得到释放
2.磁芯内有杂质或空洞磁芯材料本身不均匀,影响磁芯的磁场状况,使磁芯的磁导率发生了偏差;
3.由于烧结后产生的烧结裂纹;
4.铜线与铜带浸焊连接时,线圈部分溅到锡液,融化了漆包线的绝缘层,造成短路;
5.铜线纤细,在与铜带连接时,造成假焊,开路失效
1、耐焊性
低频片感经回流焊后感量上升 < 20%
由于回流焊的温度超过了低频片感材料的居里温度,出现退磁现象。片感退磁后,片感材料的磁导率恢复到最大值,感量上升。一般要求的控制范围是片感耐焊接热后,感量上升幅度小于20%。
耐焊性可能造成的问题是有时小批量手工焊时,电路性能全部合格(此时片感未整体加热,感量上升小)。但大批量贴片时,发现有部分电路性能下降。这可能是由于过回流焊后,片感感量会上升,影响了线路的性能。在对片感感量精度要求较严格的地方(如信号接收发射电路),应加大对片感耐焊性的关注。
检测方法:先测量片感在常温时的感量值,再将片感浸入熔化的焊锡罐里10秒钟左右,取出。待片感彻底冷却后,测量片感新的感量值。感量增大的百分比既为该片感的耐焊性大小
2、可焊性
电镀简介
当达到回流焊的温度时,金属银(Ag)会跟金属锡(Sn)反应形成共熔物,因此不能在片感的银端头上直接镀锡。而是在银端头上先镀镍(2um 左右) ,形成隔绝层,然后再镀锡(4-8um )。
可焊性检测
将待检测的片感的端头用酒精清洗干净,将片感在熔化的焊锡罐中浸入4秒钟左右,取出。如果片感端头的焊锡覆盖率达到90%以上,则可焊性合格。
可焊性不良
1)端头氧化:当片感受高温、潮湿、化学品、氧化性气体(SO2、NO2等)的影响, 或保存时间过长,造成片感端头上的金属Sn氧化成SnO2,片感端头变暗。由于SnO2不和Sn、 Ag、Cu等生成共熔物,导致片感可焊性下降。片感产品保质期:半年。如果片感端头被污染,比如油性物质,溶剂等,也会造成可焊性下降
2)镀镍层太薄,吃银:如果镀镍时,镍层太薄不能起隔离作用。回流焊时,片感端头上的Sn和自身的Ag首先反应,而影响了片感端头上的Sn和焊盘上的焊膏共熔,造成吃银现象,片感的可焊性下降。
判断方法:将片感浸入熔化的焊锡罐中几秒钟,取出。如发现端头出现坑洼情况,甚至出现瓷体外露,则可判断是出现吃银现象的。
3、焊接不良
内应力
如果片感在制作过程中产生了较大的内部应力,且未采取措施消除应力,在回流焊过程中,贴好的片感会因为内应力的影响产生立片,俗称立碑效应。

判断片感是否存在较大的内应力,可采取一个较简便的方法:
取几百只的片感,放入一般的烤箱或低温炉中,升温至230℃左右,保温,观察炉内情况。如听见噼噼叭叭的响声,甚至有片子跳起来的声音,说明产品有较大的内应力。
元件变形
如果片感产品有弯曲变形,焊接时会有放大效应。
焊接不良、虚焊

焊接正常

焊盘设计不当

a.焊盘两端应对称设计,避免大小不一,否则两端的熔融时间和润湿力会不同
b.焊合的长度在0.3mm以上(即片感的金属端头和焊盘的重合长度)
c.焊盘余地的长度尽量小,一般不超过0.5mm。
d.焊盘的本身宽度不宜太宽,其合理宽度和MLCI宽度相比,不宜超过0.25mm
贴片不良
当贴片时,由于焊垫的不平或焊膏的滑动,造成片感偏移了θ角。由于焊垫熔融时产生的润湿力,可能形成以上三种情况,其中自行归正为主,但有时会出现拉的更斜,或者单点拉正的情况,片感被拉到一个焊盘上,甚至被拉起来,斜立或直立(立碑现象)。目前带θ角偏移视觉检测的贴片机可减少此类失效的发生



焊接温度
回流焊机的焊接温度曲线须根据焊料的要求设定,应该尽量保证片感两端的焊料同时熔融,以避免两端产生润湿力的时间不同,导致片感在焊接过程中出现移位。如出现焊接不良,可先确认一下,回流焊机温度是否出现异常,或者焊料有所变更。
电感在急冷、急热或局部加热的情况下易破损,因此焊接时应特别注意焊接温度的控制,同时尽可能缩短焊接接触时间

回流焊推荐温度曲线

手工焊推荐温度曲线
4、上机开路
虚焊、焊接接触不良
从线路板上取下片感测试,片感性能是否正常
电流烧穿
如选取的片感,磁珠的额定电流较小,或电路中存在大的冲击电流会造成电流烧穿,片感或磁珠 失效,导致电路开路。从线路板上取下片感测试,片感失效,有时有烧坏的痕迹。如果出现电流烧穿,失效的产品数量会较多,同批次中失效产品一般达到百分级以上。
焊接开路
回流焊时急冷急热,使片感内部产生应力,导致有极少部分的内部存在开路隐患的片感的缺陷变大,造成片感开路。从线路板上取下片感测试,片感失效。如果出现焊接开路,失效的产品数量一般较少,同批次中失效产品一般小于千分级。
5、磁体破损
磁体强度
片感烧结不好或其它原因,造成瓷体强度不够,脆性大,在贴片时,或产品受外力冲击造成瓷体破损
附着力
如果片感端头银层的附着力差,回流焊时,片感急冷急热,热胀冷缩产生应力,以及瓷体受外力冲击,均有可能会造成片感端头和瓷体分离、脱落;或者焊盘太大,回流焊时,焊膏熔融和端头反应时产生的润湿力大于端头附着力,造成端头破坏。
片感过烧或生烧,或者制造过程中,内部产生微裂纹。回流焊时急冷急热,使片感内部产生应力,出现晶裂,或微裂纹扩大,造成瓷体破损
2、电感选型范例:
1、等效电阻:影响效率
2、电感值:影响纹波电流
计算出正确的电感值对选用合适的电感和输出电容以获得最小的输出电压纹波而言非常重要。
从下图可以看出,流过开关电源电感器的电流由交流和直流两种分量组成,因为交流分量具有较高的频率,所以它会通过输出电容流入地,产生相应的输出纹波电压dv=di×RESR。这个纹波电压应尽可能低,以免影响电源系统的正常操作,一般要求峰峰值为10mV~500mV。

纹波电流的大小同样会影响电感器和输出电容的尺寸,纹波电流一般设定为最大输出电流的10%~30%,因此对降压型电源来说,流过电感的电流峰值比电源输出电流大5%~15%。
在开关管开关的过程中,电感上电流的变化。

在开关管开关的过程中,电感的欧姆定律应用,计算:


由上面公式可知,电感的感值越大,输出纹波电流就越小。但带来问题是动态响应(response time)变慢。如果电感感值较小,如果想输出电压的纹波也小,就需要提高开关频率,这样MOS管上的开关损耗就增加,电路效率下降。
第四部分 实际电路设计
BUCK型开关电源规格需求:5V0~24V0→1V~5V0 输出电流:2A
电源控制器备选型号:MP4420A(A表示:CCM模式,H表示:轻载降频模式)
PIN2PIN兼容:MPQ4420A-DJ(工业级),MPQ4420A-DJ-A(汽车级)
厂家:MPS

电源输出:3.3V
电源范围要求:5%
电源纹波要求:2% 0.066V
开关频率:410kHz(320~500kHz)
占空比:12V转3V3: 27.5%

我们选定10uH电感之后,即确定了纹波电流:

纹波电流 = (12V-3.3V)*0.275/(0.00001*320000)=0.75A
我们选定的陶瓷电容的ESR:
含义即为电容器所能耐受纹波电流/电压值。它们和ESR 之间的关系密切,可以用下面的式子表示:Urms = Irms × R 式中,Urms 表示纹波电压 Irms 表示纹波电流 R 表示电容的 ESR。
由上可见,当纹波电流增大的时候,即使在 ESR 保持不变的情况下,涟波电压也会成倍提高。换言之,当纹波电压增大时,纹波电流也随之增大,这也是要求电容具备更低 ESR 值的原因。叠加入纹波电流后,由于电容内部的等效串连电阻(ESR)引起发热,从而影响到电容器的使用寿命。一般的,纹波电流与频率成正比,因此低频时纹波电流也比较低。
所以,对于输出电容来说,耐压的要求和容量可以适当的降低一点。ESR的要求则高一点,因为这里要保证的是足够的电流通过量。但这里要注意的是ESR并不是越低越好,低ESR电容会引起开关电路振荡。而消振电路复杂同时会导致成本的增加。板卡设计中,这里一般有一个参考值,此作为元件选用参数,避免消振电路而导致成本的增加。
我们把ESR设置为1欧姆:




幅度明显减小
如果我们用2个1Ω,100uF的电容,则会发现纹波电压进一步减小。一方面是电容在开关频率点的阻抗通过并联进一步减小,另一方面,ESR其实也是等效于并联。本质是ESR与电容串联后并联,导致输出电容在开关频率点上的阻抗明显减小。


ESR、电容的串并联公式等同于电阻的串并联公式。
根据陶瓷电容的datasheet

在410kHz附近,其ESR大约是2mΩ
所以纹波电压=0.75A*2mΩ=1.5mV
远小于66mV的纹波要求。
所以其实我们设计的时候,考虑到电感值的精度范围、温度漂移。所以,根据我们的成本、PCB空间的要求,还可以适当减小我们电感值的大小。但是,减小时,还需要考虑电感值最差的情况,对纹波进行评估。
第五部分 电感降额
电感元件的热点温度额定值与线圈线组的绝缘性能、工作电流、瞬态初始电流及介质耐压有关。

注:
1) THS 为额定热点温度。
2)只适用于扼流圈。
按照我们的设计需求,如果我们的瞬态电流为2A,则需要额定电流为2A/0.9=2.22A,我们需要选择额定电流在2.5A~3A的电感作为输出。Isat和Irms选择小的那个作为额定电流。

第六部分 电感选型


我们选择Irms和Isat都大于2.5A的,DCR相对小一点的10uH电感,最后考虑成本和体积。

共模电感(扼流圈)选型
1 共模电感原理
在介绍共模电感之前先介绍扼流圈,扼流圈是一种用来减弱电路里面高频电流的低阻抗线圈。为了提高其电感扼流圈通常有一软磁材料制的核心。共模扼流圈有多个同样的线圈,电流在这些线圈里反向流,因此在扼流圈的芯里磁场抵消。共模扼流圈常被用来压抑干扰辐射,因为这样的干扰电流在不同的线圈里反向,提高系统的EMC。对于这样的电流共模扼流圈的电感非常高。共模电感的电路图如图1所示。

共模信号和差模信号只是一个相对量,共模信号又称共模噪声或者称对地噪声,指两根线分别对地的噪声,对于开关电源的输入滤波器而言,是零线和火线分别对大地的电信号。虽然零线和火线都没有直接和大地相连,但是零线和火线可以分别通过电路板上的寄生电容或者杂散电容又或者寄生电感等来和大地相连。差模信号是指两根线直接的信号差值也可以称之为电视差。
假设有两个信号V1、V2
共模信号就为(V1+V2)/2
差模信号就为:对于V1 (V1-V2)/2;对于V2 -(V1-V2)/2
共模信号特点:幅度相等、相位相同的信号。
差模信号特点:幅度相等、相位相反的信号。
如图2所示为差模信号和共模信号的示意图。


图2差模信号和共模信号示意图
2 差模噪声和共模噪声主要来源
对于开关电源而言,如果整流桥后的储能滤波大电容为理想电容,即等效串联电阻为零(忽略所有电容寄生参数),则输入到电源的所有可能的差模噪声源都会被该电容完全旁路或解耦,可是大容量电容的等效串联电阻并非为零。因此,输入电容的等效串联电阻是从差模噪声发生器看进去的阻抗Zdm的主要部分。输入电容除了承受从电源线流入的工作电流外,还要提供开关管所需的高频脉冲电流,但无论如何,电流流经电阻必然产生压降,如电容的等效串联电阻,所以输入滤波电容两端会出现高频电压纹波,高频高压纹波就是来自于差模电流。它基本上是一个电压源(由等效串联电阻导致的)。理论上,整流桥导通时,该高频纹波噪声应该仅出现在整流桥输入侧。事实上,整流桥关断时,噪声会通过整流桥二极管的寄生电容泄露。
高频电流流入机壳有许多偶然的路径。当开关电源中的主开关管的漏极高低跳变时,电流流经开关管与散热器之间的寄生电容(散热器连接至外壳或者散热器就是外壳)。在交流电网电流保持整流桥导通时,注入机壳的噪声遭遇几乎相等的阻抗,因此等量流入零线和火线。因此,这是纯共模噪声。
3 共模电感如何抑制共模信号
目前已经知道共模信号是两个幅度相等、相位相同的信号,共模信号一般来自电网,共模信号会影响电路板的正常工作,也会以电磁波的形式干扰周围环境。
既然是用电感来抑制共模信号,那么这肯定和磁场相关。先来介绍通电螺线感,产生的磁场的方向(对于项目应用而言,有些场合比如抑制共模信号而言,不太需要定量的计算,电感产生的磁场以及磁通量的大小,感兴趣的童鞋,这里推荐一本书可以参考,<<开关电源中磁性元器件>>赵修科老师)。对于通电螺线管的磁场方向判断方法为,右手握住螺管,四指指向电流方向,则拇指指向就是磁场方向。接下来介绍一个重要的名词,即磁通。垂直通过一个截面的磁力线总量称为该截面的磁通量,简称磁通。磁力线是通电螺线管产生的,是实际存在的,只是看不见也摸不着,磁力线是一个闭和的回路,对于通电螺线管,磁力线都要经过螺线管内部,磁力线是与磁感应强度B成正比的。如图3所示为通电螺线管产生磁力线的示意图。

图3 螺线管磁力线
如图4所示为,穿过某一截面的磁通

图4 穿过截面的磁通
磁通量用F表示,是一个标量,单位为韦伯,代号Wb。磁通量和磁感应强度B以及截面积A的关系为:
F=BA
从关系式可以看出,穿过横截面的磁力线越多,磁通量就越大。对于绕在磁芯上的线圈,在其上通电流i,则线圈的电感L可以表示为:
L=NF/i
N为线圈匝数。
到此为止,通过上述的简要概述,可以知道,绕在磁芯上的线圈在匝数和电流不变时,磁芯中穿过的磁力线越多,那么磁通量就越大,则相对应的电感量也越大。电感天生的作用就是阻止流过其上电流的变化,其实质是阻止其磁通量的变化。这就是利用共模电感来抑制共模电流的基本原理。
如图5所示为,共模电流在共模电感上产生的磁感应强度,电流I1产生的磁感应强度为B1,电流I2产生的磁感应强度为B2,两条黄色箭头分别表示电流I1和I2在铁氧体中产生的磁力线,可以看出电流I1和I2产生的磁力线是相加的,故磁通也是相加的,那么电感量就是相加的,电感量越大,对电流的抑制能力就越强。

图5共模电流在共模电感上的磁通分布
对于共模电感如何抑制共模电流用一句话可以解释,即共模电感上流过共模电流时磁环中的磁通相互叠加,从而具有相当大的电感量,对共模电流起到抑制作用。
当两个线圈流过差模电流时,铁氧体磁环中的磁力线相反,导致磁通相互抵消,几乎没有电感量,所以差模信号可以基本无衰减的通过(考虑到电感本身具有一定的电阻)。所以不仅对于开关电源的输入滤波器加共模电感,在走差分信号线时也可以加上共模电感来抑制共模电流,以防止电路误触发等现象。
4共模电感选取
根据共模电感的额定电流、直流电阻以及额定频率下阻抗值要求,可以按步骤进行设计:
1 根据阻抗值计算最小电感值
2 选择共模电感磁芯材料以及磁芯尺寸
3 确定线圈匝数
4 选择导线
共模电感最小电感值计算公式:

Xl为频率为f时的阻抗值
扼流圈电感值是用负载(单位:Ohms)除以信号开始衰减时的角频率或以上频率。例如,在50Ω的负载中,当频率达到 4000 Hz 或以上时信号开始衰减,则需要使用 1.99 mH(50/2π×4000))的电感。其相应的共模滤波器构造,如下图6所示:

选择所需滤波的频段,共模阻抗越大越好,因此在选择共模电感时需要看器件资料,主要根据阻抗频率曲线选择。
电感量计算出来后和普通设计电感一样,在此就不详细展开。
自己在绕制电感时要注意些事项,
1)绕制在线圈磁芯上的导线要相互绝缘,以保证在瞬时过电压作用下线圈的匝间不发生击穿短路。
2)当线圈流过瞬时大电流时,磁芯不要出现饱和。
3)线圈中的磁芯应与线圈绝缘,以防止在瞬时过电压作用下两者之间发生击穿。
4)线圈应尽可能绕制单层,这样做可减小线圈的寄生电容,增强线圈对瞬时过电压的而授能力
共模电感磁芯的选取磁芯时,形状尺寸、适用频段、温升以及价格都要考虑,常用的磁芯为U型、E型和环形。
相对而言,环形磁芯比较便宜,因为环形只有一个就可制作。而其他形状的磁芯必须有一对才能为共模电感所用,且在成型时,考虑两磁芯的配对问题,还须增加研磨工序才能得到较高的磁导率,对于环形磁芯却不需如此;与其它形状磁芯相比环形磁芯有较高的有效磁导率,因为两配对磁芯在装配时,无论怎样作业都不可消除气隙的现象,故有效磁导率比单一封闭形磁芯要低。但环形磁芯绕线成本较高,因其他形状磁芯有一配套线架在使用,绕线可以机器作业,而环形磁芯只可以手工作业或机器(速度较低)作业;且磁环孔径小,机器难以穿线,需要人工去绕,费时费力,加工成本高,效率低;安装不便,若是加底座,则成本会上升。综合性能比起来,磁环性能较好,价格也较高。因为成本的因素,磁环大多用在大功率
应用实例
前面章节探讨了电感的铁芯材质、封装结构、以及其重要之电气特性,在本章会说明如何选择合适之降压转换器之电感值,以及选择市售之电感器的考虑因素。
如式(5)所示,电感值及转换器之开关频率都会影响电感涟波电流(ΔiL)。电感涟波电流会流经输出电容,影响输出电容的涟波电流,也因此会影响输出电容的选择,并进而影响输出电压的涟波大小。再者,电感值与输出电容值亦会影响系统之回授设计及负载动态响应。选用较大的电感值,对于电容的电流应力较小,也有利于降低输出电压涟波,且可储存较多能量,然而电感值大就表示其体积大,亦即成本较高。因此,在设计转换器时,电感值的设计就非常重要。
(5)
由式(5)可知,当输入电压与输出电压差距愈大时,电感涟波电流会愈大,也就是电感设计的最严厉状况(worst-case condition)。再加上其他的归纳分析,降压转换器的电感值设计点通常应选在最大输入电压与满载的条件下。
在设计电感值时须在电感涟波电流及电感尺寸做取舍,在此定义涟波电流因子(ripple current factor;γ),如式(6)。
(6)
将式(6)代入式(5),则电感值可表示为式(7)。
(7)
根据式(7),当输入与输出电压差距愈大,γ值可以选取较大;反之若输入与输出电压愈接近,γ值设计必须较小。为了电感涟波电流与尺寸之间的取舍,依传统设计经验值,γ通常取0.2到0.5。以下为以RT7276为例说明电感值的计算与市售电感器的选择考虑。
设计实例:以RT7276先进恒定导通时间(Advanced Constant On-Time;ACOTTM)之同步整流降压转换器来设计,其开关频率为700 kHz,输入电压为4.5V到18V,输出电压为1.05V,满载电流为3A。如上所述,电感值须设计在最大输入电压18V及满载3A的条件下,将γ值取0.35,将上述数值代入式(7),得电感值为:
(8)
取用一常规标称电感值为1.5 µH的电感。代回式(5)计算电感涟波电流,如下
(9)
因此电感的峰值电流为
(10)
而电感电流的有效值(IRMS)为
(11)
因电感涟波成分小,因此电感电流有效值主要为其直流成分,此有效值即作为选择电感额定电流IDC的依据。以80%减额(derating)设计,电感的需求为:
L = 1.5 µH(100 kHz),IDC = 3.77 A,ISAT = 4.34 A
表5所列为可选用之TDK不同系列的电感,尺寸相近但封装结构不同。从表中可知,冲压式电感(SPM6530T-1R5M)的饱和电流及额定电流大,且热阻小、散热佳。另外,根据前章之探讨,冲压式电感的铁芯材质属于铁粉芯,因此相较于加磁胶之半遮蔽式(VLS6045EX-1R5N)及遮蔽式(SLF7055T-1R5N)电感的铁氧体铁芯,具有较好的直流偏置特性。图11为不同电感应用于RT7276先进恒定导通时间之同步整流降压转换器的效率比较,结果显示三者之效率差异并不大。而若考虑散热、直流偏置特性及磁场散逸问题,建议选用SPM6530T-1R5M电感。

表5、TDK不同系列的电感比较

图11、不同电感之转换器效率比较
若选用相同封装结构及电感值,而尺寸较小的电感,如SPM4015T-1R5M(4.4x4.1x1.5mm),虽然其体积小,但直流电阻RDC(44.5mΩ)及热阻ΘTH(51˚C/W)较大。对于相同规格之转换器而言,电感所耐受的电流有效值也相同,显然直流电阻大会降低重载时之效率,此外,热阻大即表示散热较差。因此,在选择电感时不可只考虑缩小尺寸带来的效益,还需评估其伴随的缺点。
结论
电感在开关电源转换器中是常用的被动组件之一,可用来储能以及滤波。然而在电路设计上,需要关注的不仅电感值这个参数,其它包括交流电阻与Q值、电流耐受能力、铁芯饱和程度、以及封装结构等等,都是在选择电感器时须考虑的参数。而这些参数通常与铁芯材料、制程工艺、更与尺寸成本有关。因此本篇介绍了不同铁芯材料的特性,以及如何选择适当的电感,作为电源设计的参考。
声 明:文章内容来源于硬件攻城狮。仅作分享,不代表本号立场,如有侵权,请联系小编删除,谢谢!
732225485





沪公网安备31011802005013